Вход
Регистрация
Регистрация
Задать вопрос
Выбор предмета
Алгебра
Математика
Русский язык
Українська мова
Информатика
Геометрия
Химия
Физика
Экономика
Право
Английский язык
География
Биология
Другие предметы
Обществознание
История
Литература
Українська література
Беларуская мова
Қазақ тiлi
Выбрать
Загрузить файл
Задать вопрос
Вход
Регистрация
Опубликовано 27.04.2020 по предмету
Алгебра
от
akBTS
>>
<<
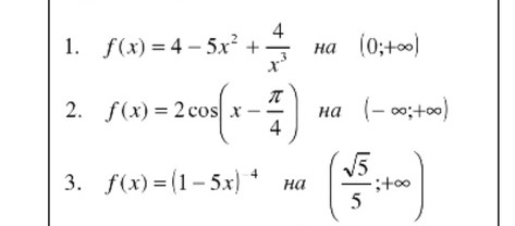
Найдите все первообразные F(x) для функции 1-3. ПОМОГИТЕ ПОЖАЛУЙСТА!!!!
Подпишись на наш канал в телеграм. Там мы даём ещё больше полезной информации для школьников!
Найти другие ответы
Выбрать
Загрузить картинку
Предметы
Алгебра
Математика
Русский язык
Українська мова
Информатика
Геометрия
Химия
Физика
Экономика
Право
Английский язык
География
Биология
Другие предметы
Обществознание
История
Литература
Українська література
Беларуская мова
Қазақ тiлi
Показать ещё